三国乱世神鼎活动梨花木/乌檀木详细数据攻略,三国乱世神鼎攻略,三国乱世神鼎活动攻略
梨花木10金封顶!
每一个晶石一分钟消耗1个乌檀木

每一个晶石两分钟消耗1个梨花木

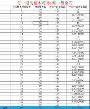
我1级0%的晶石到2级0%需要500个一级宝石对吧,2级到3级需要600个我用乌檀木140个,升级到2级56.66%
500*100%+600*56.66=840个一级宝石
折算下来就是每个乌檀木6个一级宝石
而且中间我有取下来,看中间数据!
、慕莎。so’。 发表于7年前
三国乱世官网
三国乱世开始游戏
声明:该文观点仅代表用户本人,酷乐米仅提供信息存储空间服务,文中素材如有侵权请联系删除。